王天明教授发文利用声学指数+深度学习方法追踪迁徙鸟类的活动和生境利用
作者:
作者:段雨萱,王士政,曹冉星,冯佳伟,葛剑平,王天明(通讯作者)
论文详情:https://esajournals.onlinelibrary.wiley.com/doi/10.1002/ecs2.70493

鸟类每年沿着迁徙路线迁徙,形成了复杂的迁徙网络。中途停歇地是鸟类长距离迁徙途中的“加油站”,为迁徙鸟类提供栖息地和食物资源,使鸟类能够充分休息并为下一阶段的飞行补充能量。然而,由于强烈的人类干扰,许多中途停歇地的生境已经发生改变和退化,严重威胁着鸟种群的生存。被动声学监测(passive acoustic monitoring, PAM)技术等新型远程自动化数据收集方法,为持续监测鸣叫活跃的物种提供了一种颇具前景的途径。
我国吉林东部的敬信湿地是东亚-澳大利西亚迁徙路线的重要中途停歇地之一,研究以雁鸭类为主的迁徙鸟类对该停歇地的时空利用有利于保护政策的制定。我站站长王天明教授在《Ecosphere》上发表研究论文“Tracking habitat use of migratory birds in a human-dominated stopover site using deep learning and acoustics indices”,该研究应用PAM技术监测了中国敬信湿地的迁徙鸟类,结合声学指数和深度学习方法揭示了迁徙雁鸭类在以人类活动为主导的中途停歇地——敬信湿地的栖息地使用。
研究者三种生境(退化湿地、农田和森林)中进行了声学数据的采集,时间是2022年10月16日至12月15日(秋季迁徙期)和2023年2月19日至4月28日(春季迁徙期)(图1)。计算了声学复杂性指数(acoustic complexity index, ACI)、声学多样性指数(acoustic diversity index, ADI)、声学均匀度指数(acoustic evenness index, AEI)、声学熵指数(acoustic entropy index, H)、生物声学指数(bioacoustic index, BIO)、标准化声景差异指数(normalized difference soundscape index, NDSI)和声景饱和度(soundscape saturation, SS)共7个声学指数。此外,为评价敬信湿地的声能特征,本研究计算每条音频1-11 kHz范围内每1 kHz频段的功率谱密度(power spectral density, PSD)值。利用ResNet50卷积神经网络(CNN)进行多标签分类,标签类型包括以雁鸭类低频发声为主的迁徙鸟类、其它中高频发声的鸟类、昆虫、牛、牛铃、车辆、风和雨。

图1研究区域内自动录音设备(ARUs)布设位点和敬信湿地农田中的白额雁(Anser albifrons)
主要发现:
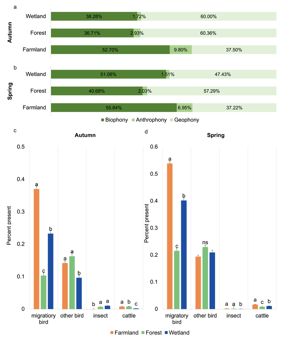
(1)农田是迁徙鸟类利用最多的生境。迁徙鸟类的发声主要集中于农田(秋季:出现百分比= 0.37;春季:出现百分比= 0.54),其次是湿地(秋季:出现百分比= 0.23;春季:出现百分比= 0.40),最后是森林(秋季:出现百分比= 0.10;春季:出现百分比= 0.22)(图2)。
(2)雁鸭类1-2 kHz的声信号在两个迁徙期的声景中占主导地位。该频段的最高强度出现在农田中,其次是湿地,最后是森林(图3)。
(3)所有鸟类的声信号昼夜动态在不同生境中呈现出相似的模式,在黎明和黄昏的鸣叫声形成两个峰值(晨昏合鸣)(图4)。
(4)复合声学指数和基于CNN的自动识别模型反映了两个迁徙期鸟类栖息地利用梯度和昼夜节律。在两个迁徙期,NDSI对鸟类迁徙强度的预测呈现出最高的负相关性,相关系数从春季的0.19到秋季的0.41不等(表1)。

图2 秋季和春季迁徙期各声音类型在农田、森林和湿地中的分布情况。(a, b)秋季和春季迁徙期各生境中生物声、人为声和地理声出现百分比的占比;(c, d)秋季和春季迁徙期各生境中声音类型的出现百分比直方图

图3 秋季和春季迁徙期农田、森林和湿地的功率谱密度(PSD)归一化值。PSDi表示频段i的功率谱密度, 即I - (i + 1) kHz频段的功率谱密度

图4 秋季和春季迁徙期农田、森林和湿地中迁徙鸟类和其它鸟类出现百分比的日变化模式
表1 单一声学指数作为迁徙鸟类出现百分比预测因子的线性回归模型评估

后续的研究(基于多年的数据)进一步发现NDSI可作为敬信湿地以雁鸭类低频发声为主的迁徙鸟类监测的有效声学指标,反映了这些鸟类发声活动对1-2 kHz声景的贡献。

图5 标准化声景差异指数(NDSI)的月度变化
这种将可重复的声学数据与声学指数和AI识别相结合的方法可有效追踪迁徙鸟类的分布。未来可以考虑使用经济高效的自动录音设备(autonomous recording units, ARUs)来长期监测迁徙鸟类对环境变化的响应。此外,本研究结果也凸显了在以人类为主的中途停歇地进行农业生态系统管理的重要性。北京师范大学生命科学学院已毕业硕士研究生段雨萱为论文的第一作者(现工作单位为北京市朝阳区生态环境局),王天明教授为通讯作者,葛剑平教授、冯佳伟博士后、博士研究生王士政和硕士生曹冉星参与了该研究。该研究工作得到了国家科技基础资源调查专项(2019FY101700、2021FY100702)资助。
推荐研究进展 + 更多


