
光照是影响野生动物行为和活动的重要生态因子。随着经济社会的快速发展,夜间人造光(Artificial Light at Night, ALAN)被广泛使用并造成了全球性的光污染问题,对自然生态系统产生了广泛影响。ALAN如何影响陆生哺乳动物的活动?2024年发表于期刊Biological Conservatrion的文章“Does artificial light interfere with the activity of nocturnal mammals? Anexperimental study using road underpasses”,研究了ALAN存在下野生动物对公路涵洞(修筑于路基下方的排水孔道)的使用情况。该研究假设:(1)照明会降低陆生野生哺乳动物使用涵洞的可能性;(2)使用涵洞的陆生野生哺乳动物的穿越速度会增加,以便尽量减少在压力环境中的停留时间;(3)移除照明后,照明对陆生野生哺乳动物运动的任何影响会消失。研究发现ALAN照明对欧洲獾、赤狐、鼬类穿越涵洞的概率和穿越速度不同的影响,并依赖季节效应,这种影响在移除照明后可以迅速消失。
研究方法:
研究地点位于法国“ Causses du Quercy ”自然公园内,该地区以夜间环境质量高、光污染低而闻名。研究者选择了长度和高度相似、且无人工照明的5个涵洞作为实验点(图1),安装LED灯作为ALAN来源(图2)。实验分为四个阶段:
适应期(2017年11月至2018年5月):让动物习惯研究设备的存在,但无照明;
关闭期1(2018年6月至2019年5月):照明关闭;
开启期(2019年6月至2020年5月):夜间开启LED照明;
关闭期2(2020年6月至2021年5月):再次关闭照明。
研究者在每个涵洞的两侧分别放置了红外相机陷阱以收集动物活动数据,通过运动触发拍摄照片,记录动物是否穿越涵洞(确认穿越、可能穿越、返回或行为不明),并使用MapView软件从红外相机照片中提取涵洞标识符、研究阶段、日期、月相、物种身份和动物行为等信息。
利用所收集的数据,研究者建立了2种模型。
1.穿越概率模型:使用二项广义线性混合模型(GLMM)模拟动物穿越涵洞的概率,考虑夜长、月相、季节、处理期及其交互作用作为固定效应,涵洞场地作为随机效应。
2.穿越速度模型:使用线性混合模型(LMM)模拟动物穿越速度,考虑季节、处理期及其交互作用作为固定效应,涵洞场地作为随机效应。
模型选择与验证:使用R包MuMIn的dredge()函数选择最佳模型,基于二阶赤池信息量准则(AICc)进行模型选择。使用R包 DHARMa检查模型残差的分布和均匀性,确保模型拟合良好。
研究结果:
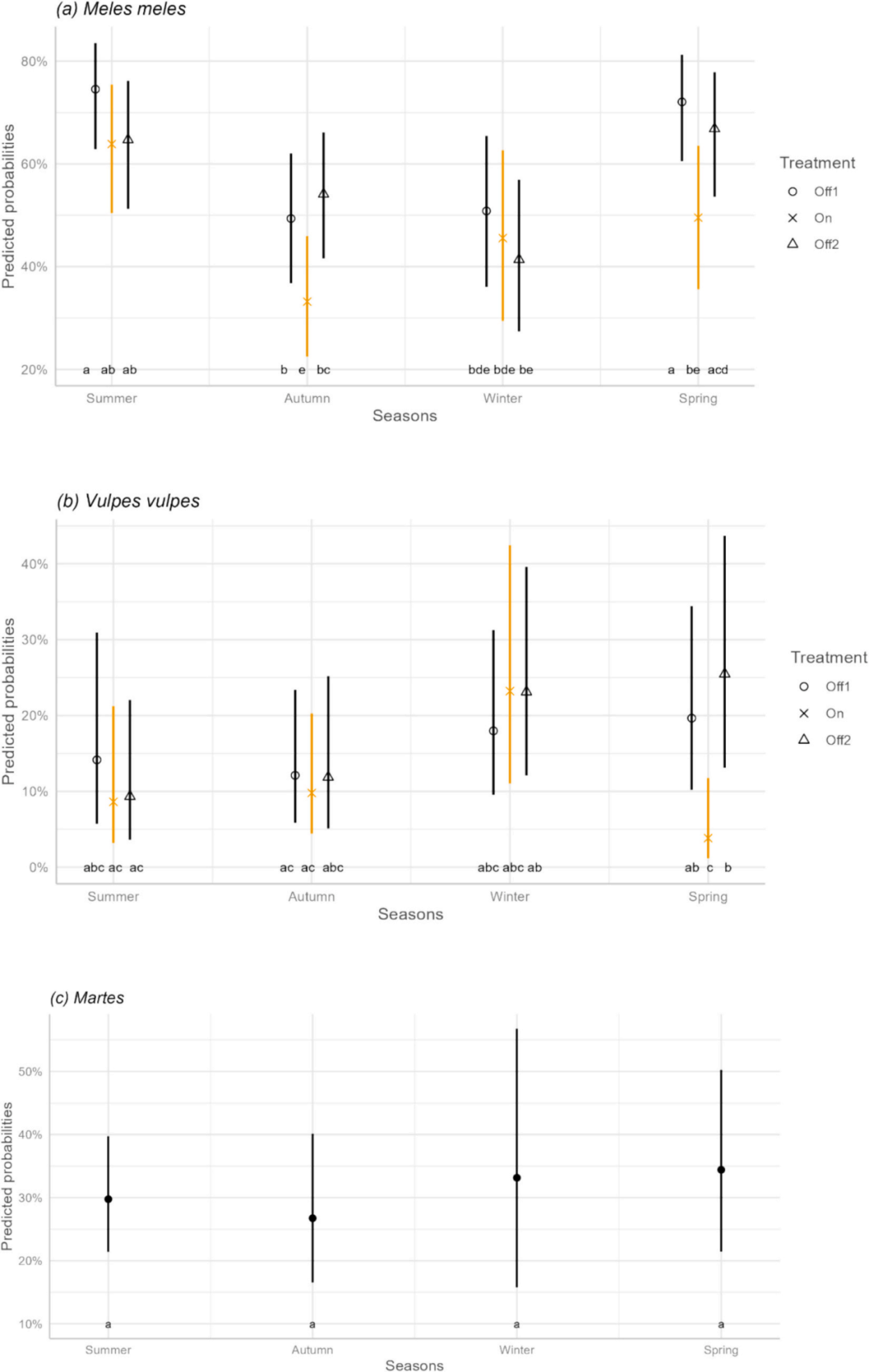
研究共记录到12种野生哺乳动物,其中欧洲獾(3387次)、赤狐(1370次)和鼬类(1214次)的目击次数最多。欧洲獾、赤狐和鼬类的活动主要在日落后开始,通常在日出后停止。欧洲獾和鼬类在夜幕降临后一小时内开始活动,而赤狐在冬季除外,其夜间活动通常在天黑时就开始。
ALAN对穿越概率的影响:照明显著降低了欧洲獾在春季和秋季穿越涵洞的概率。在照明开启期,秋季的穿越概率显著低于夏季,而其他季节对之间的差异不显著(图3(a))。对于赤狐,照明仅在春季显著降低了其穿越涵洞的概率。随着夜长的增加,赤狐的穿越概率显著下降(图3(b))。照明对鼬类的穿越概率没有显著影响(图3(c))。
ALAN对穿越速度的影响:研究发现照明显著降低欧洲獾的穿越速度(图4(a))。在秋季和冬季,欧洲獾的穿越速度显著低于其他季节(图4(b))。照明对赤狐和鼬类的穿越速度没有显著影响。
图4.欧洲獾在涵洞内的平均穿越速度(对数转换)根据季节(a)和光照处理(b)的变化
在移除照明后,欧洲獾和赤狐的穿越行为迅速恢复到未照明时的状态,表明ALAN的影响是可逆的。
总结:
本研究表明,夜间人工光显著影响某些中型野生哺乳动物的穿越行为,特别是在春季和秋季。这种影响在移除照明后可以迅速消失,表明减少夜间照明可以有效恢复野生动物的自然行为。研究结果支持“Dark Infrasturce”政策,即通过保护黑暗栖息地斑块和黑暗廊道来减少光污染对生态系统的负面影响。
标题:Does artificial light interfere with the activity of nocturnal mammals? Anexperimental study using road underpasses
期刊:Biological Conservatrion
作者:Romain Sordello; Dakis-Yaoba Ou´edraogo; Clotilde Chassoulier 等
发表时间:2025-01
DOI:https://doi.org/10.1016/j.biocon.2024.110960


